Division Of Polynomials Worksheet : Synthetic Division Worksheet With Answers Snowtanye Com / Dividing polynomials using long division model problems:
Dapatkan link
Facebook
X
Pinterest
Email
Aplikasi Lainnya
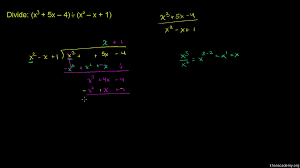
Division Of Polynomials Worksheet : Synthetic Division Worksheet With Answers Snowtanye Com / Dividing polynomials using long division model problems:. Divide each of the polynomials using long division. Students are expected to work out the quotient in these free worksheets on polynomial division problems involving both single and multi variables. Some of the worksheets for this concept are dividing polynomials using long division, long and synthetic division of polynomials, partial fractions and polynomial long division, polynomial division, infinite algebra 2, dividing polynomials, dividing polynomials date period, dividing polynomials date period. The first step is to find what we need to multiply the first term of the divisor (x) by to obtain the first term of the dividend (2x3). Worksheet by kuta software llc algebra 2 7.1:
Elementary algebra skill dividing polynomials divide. Polynomial long division handout.pdf, 26.46 kb; Some of the worksheets for this concept are multiplying polynomials date period, multiplying and dividing polynomials work, addition and subtraction when adding, dividing polynomials date period, multiplying and dividing polynomials work answer key, multiplying polynomials, multiply the monomials. Click on the sign tool and create an electronic signature. Divide each of the polynomials using long division.
Use Long Division To Divide Polynomials College Algebra from s3-us-west-2.amazonaws.com Also, find exercises in the word format. Adding polynomials worksheet grade 9. Dividing polynomials using long division model problems: The numerator is to divided by the value of the denominator. Some of the worksheets for this concept are dividing polynomials using long division, long and synthetic division of polynomials, partial fractions and polynomial long division, polynomial division, infinite algebra 2, dividing polynomials, dividing polynomials date period, dividing polynomials date period. There are no restrictions as to when polynomial long division may be used. You can find 3 options; 1) (18r5 + 36r4 + 27r3) ÷9r 2) 9x5 + 9x4 + 45x3 9x2 3) (2n3 + 20n2 + n) ÷10n2 4) 3v3 + v2 + 2v 9v3 5) (45v4.
Synthetic division can only be used if the divisor is a first degree binomial.
If we need to divide a polynomial by a monomial, the method is simple, consider the monomial as the divisor and the polynomial as the dividend. Polynomial division in order to simplify certain sorts of algebraic fraction we need a process known as polynomial division. The objective of this activity is for students to solidify their knowledge of dividing polynomials using long division in a way that is engaging and requires student discourse. 21 posts related to 7th grade division of polynomials worksheet. The quiz features five practice problems.
Miracle Math Writing Number Words Worksheets Long Division Worksheets Pdf Worksheets Dividing Polynomials Synthetic Division Worksheet Dividing Polynomials Worksheet Kuta 3 Digit By 1 Digit Division With Remainders Worksheets Pdf Dividing Polynomials from kingandsullivan.com You can find 3 options; 2 problems are dividing by a monomial, the rest are to practice long division. Some of the worksheets for this concept are dividing polynomials date period, polynomial division, dividing polynomials, learning centre math division of polynomials, synthetic division for polynomials work, polynomial long division w remainder zero notes, dividing polynomials, dividing polynomials date period. Multiply and add patterns if zero value is a fraction, then divide all coefficients by denominator. In order to master the techniques explained here it is vital that you undertake plenty of practice exercises so that all this becomes second nature. These division worksheets will produce problems with mixed formats for the quotient, but keeping the divisor and dividend as whole numbers. Use the quotient rule and divide the given polynomials like a pro. You will often by left with a remainder, when dividing.
Adding polynomials worksheet grade 9.
Use the quotient rule and divide the given polynomials like a pro. Polynomial division in order to simplify certain sorts of algebraic fraction we need a process known as polynomial division. You will often by left with a remainder, when dividing. Click on the sign tool and create an electronic signature. You may select either whole numbers, one decimal, two decimals, or a mixture of all types of problems. Worksheet and key (editable) by. Synthetic division can only be used if the divisor is a first degree binomial. Elementary algebra skill dividing polynomials divide. For the division problem 3 24 2 1 2 1 x x x x + − + −, the divisor, 2 1x−, is a first degree binomial, so you may use synthetic division. In order to master the techniques explained here it is vital that you undertake plenty of practice exercises so that all this becomes second nature. Also, find exercises in the word format. Worksheet by kuta software llc algebra 2 7.1: Editable review worksheet with 6 problems to help students practice dividing polynomials.
The polynomial long division method may be used. This handout will discuss the rules and processes for. Long and synthetic division of polynomials long and synthetic division are two ways to divide one polynomial (the dividend) by another polynomial (the divisor). Worksheet and key (editable) by. 1) perform the following divisions using synthetic division.
Dividing Polynomials Color Worksheet By Aric Thomas Tpt from ecdn.teacherspayteachers.com 1) perform the following divisions using synthetic division. 2 problems are dividing by a monomial, the rest are to practice long division. These worksheets explain how to divide polynomial equations by other polynomials, as well as by monomials. Some of the worksheets for this concept are multiplying polynomials date period, multiplying and dividing polynomials work, addition and subtraction when adding, dividing polynomials date period, multiplying and dividing polynomials work answer key, multiplying polynomials, multiply the monomials. Division drills worksheets answer range. Divide 2 2 3 8 2 9 2 x x x x using long division. The remainder value should be placed at the bottom of the polynomial. You may select either whole numbers, one decimal, two decimals, or a mixture of all types of problems.
Some of the worksheets for this concept are dividing polynomials using long division, long and synthetic division of polynomials, partial fractions and polynomial long division, polynomial division, infinite algebra 2, dividing polynomials, dividing polynomials date period, dividing polynomials date period.
Long and synthetic division of polynomials long and synthetic division are two ways to divide one polynomial (the dividend) by another polynomial (the divisor). If we need to divide a polynomial by a monomial, the method is simple, consider the monomial as the divisor and the polynomial as the dividend. Also, find exercises in the word format. You will often by left with a remainder, when dividing. The division worksheet will produce 9 problems per worksheet. Hw 4 polynomial operations _____ i will be able to add, subtract, multiply, and divide polynomials. This unit describes this process. Divide each of the polynomials using long division. Multiply and add patterns if zero value is a fraction, then divide all coefficients by denominator. The objective of this activity is for students to solidify their knowledge of dividing polynomials using long division in a way that is engaging and requires student discourse. Use the quotient rule and divide the given polynomials like a pro. 21 posts related to 7th grade division of polynomials worksheet. You may select either whole numbers, one decimal, two decimals, or a mixture of all types of problems.
Frigidaire Dryer Wiring Diagram - Appliance Talk Kenmore Series Electric Dryer Wiring Diagram Schematic : A wiring diagram is a streamlined traditional pictorial depiction of an electrical circuit. . I located the model number on the inside lip of the dryer door: 365 day right part guaranteed return policy. Applianceaid.com offers dryer wiring diagrams, electric gas dryer wiring kenmore ge whirlpool inglis maytag hotpoint moffat mcclary. The difference in most is the electronic control board that you use to set the controls. Looking for info about frigidaire wiring schematics? I googled frigidaire affinity dryer squeak. Frigidaire frigidaire/electric dryer leq6000es2 my repair & advice. Assortment of frigidaire dryer wiring diagram. Joined oct 5, 2019 127. Repair your frigidaire dryer wire, receptacle & wire connector for less. Air Center Frigidaire Dryer Wiring Diagram from www.p...
Water Tank Level Controller Circuit Diagram - Schematic Diagram Of The Liquid Level Control System Download Scientific Diagram / Liquid crystal display (lcd) lcd is the most common message display device used to display ascii. . Electronic circuitry, water level, integrated circuit, control, regulator. You are able to utilize this motor. I made the water level indicator circuit with ic uln 2003.2nd circuit for pump control made with ic555. A simple but very reliable and effective water level controller circuit diagram is shown here. Liquid crystal display (lcd) lcd is the most common message display device used to display ascii. The circuit diagram of the water level controller using arduino is shown below. The probes are arranged in such a way that they sense ¼th, 1/2, ¾th and even full levels as they are placed with equal spacing one. Water level indicator controller using pic microcontroller. The circuit uses 6 transistors, 1 ne555 timer ic, a relay and few passiv...
2000 Volvo S40 Camshaft Position Sensor Location : P0341 Cam Position Sensor A Ckt Rng Perform Bnk 1 Volvo S 40 / Due to very high demand and a. . Engine mechanical problem 2000 volvo s40 4 cyl two wheel drive automatic hi.i have a 2000 volvo s40 1.9 when replacing a timing belt. You will need a torx 24 to remove the fasteners and a 10mm socket to remove the coils above the spark plugs. We'll go over what this component is, the. Faqs pages and free tech support. A failing camshaft position sensor (cmp sensor) can produce a confusing range of problems, depending on the way it fails and the model of the car: We'll go over what this component is, the. Were is the camshaft position sensor on 1999 volvo s80 turbo. From what i read, it could be related to a faulty camshaft position sensor, a camshaft timing issue. Here are some common symptoms of a faulty camshaft position sensor and its replacement cost. Apart from the drive, the camshaft can also become defectiv...
Komentar
Posting Komentar